Άσκηση 1
Ένα προϊόν έχει ΦΠΑ 24% . Να δημιουργήσετε αλγόριθμο ο οποίος θα δέχεται την καθαρή αξία ενός προϊόντος και θα υπολογίζει και θα εμφανίζει την τελική του τιμή, μετά την προσθήκη του ΦΠΑ.
Άσκηση 2
Να γραφεί αλγόριθμος που ανταλλάσσει τις τιμές δύο μεταβλητών.
Άσκηση 3
Ένα κατάστημα έχει εκπτώσεις, να γραφεί αλγόριθμος που διαβάζει την τελική και την αρχική τιμή ενός προϊόντος και να εμφανίζει το ποσοστό % της έκπτωσης.
Άσκηση 4
Να γραφεί αλγόριθμος που διαβάζει από το πληκτρολόγιο έναν τριψήφιο ακέραιο και να εμφανίζει τις μονάδες, τις δεκάδες και τις εκατοντάδες του.
Άσκηση 5
Η μετατροπή θερμοκρασίας από βαθμούς φαρενάιτ σε βαθμούς κελσίου πραγματοποιείται με τη χρήση του τύπου: CELSIUS = 5/9 (FAHRENHEIT – 32). Να γραφεί ο αλγόριθμος ο οποίος θα διαβάζει τους βαθμούς Φαρενάιτ και θα υπολογίζει και θα εμφανίζει τους αντίστοιχους βαθμούς σε βαθμούς κελσίου
Άσκηση 6
Να γραφεί αλγόριθμος που να διαβάζει την ακτίνα (R) ενός κύκλου και να υπολογίζει και εμφανίζει την περίμετρο και το εμβαδόν του κύκλου.
Άσκηση 7
Να γραφεί ο αλγόριθμος ο οποίος θα δέχεται ως είσοδο το μήκος των κάθετων πλευρών ενός ορθογωνίου τριγώνου και να υπολογίζει και να εμφανίζει την υποτείνουσα.
Άσκηση 8
Ένας εργαζόμενος εκτός από τον μηνιαίο βασικό μισθό έχει και τα εξής επιδόματα: 20€ για κάθε παιδί, 35€ επίδομα συζύγου. Οι κρατήσεις (φορολογία) στις οποίες υπόκεινται ο μηνιαίος μισθός είναι 20%, ενώ για ασφάλιση υπάρχει κράτηση 11%. Να αναπτύξετε αλγόριθμο που θα διαβάζει τον βασικό μηνιαίο μισθό, τον αριθμό των παιδιών και θα υπολογίζει και θα εμφανίζει: (α) το μεικτό εισόδημα του εργαζόμενου (β) το σύνολο των κρατήσεων στις οποίες υπόκεινται ο εργαζόμενος (γ) τις καθαρές αποδοχές του
Άσκηση 9
Η ΔΕΗ ζητάει την ανάπτυξη αλγορίθμου ο οποίος θα διαβάζει το επίθετο ενός καταναλωτή καθώς και τις μονάδες ηλεκτρικού ρεύματος που αυτός κατανάλωσε σε ένα μήνα. Θα υπολογίζει την μηνιαία χρέωση του καταναλωτή έχοντας υπόψη ότι το πάγιο τέλος είναι 12€, η τιμή μονάδας ρεύματος είναι 0,07€ και ο ΦΠΑ είναι 24%. Τέλος θα εμφανίζει το μήνυμα «Ο καταναλωτής» και το επίθετο του καταναλωτή «οφείλει» μηνιαία χρέωση.
Άσκηση 10
Η αξία ενός διαμερίσματος σε μια πολυκατοικία 10 ορόφων με ισόγειο υπολογίζεται ως εξής : στο ρετιρέ είναι 1500 € ανά τμ, ενώ η τιμή μειώνεται κατά 30 € ανά τμ για κάθε όροφο. Ο φόρος μεταβίβασης είναι το 6% της αξίας του ενώ τα μεσιτικά έξοδα είναι 500 €. Να γραφεί αλγόριθμος που: Α) διαβάζει σε ποιο όροφο και πόσα τετραγωνικά μέτρα είναι ένα διαμέρισμα Β) υπολογίζει την αξία του διαμερίσματος (αξία = σύνολο μέτρων * τιμή μέτρου) Γ) υπολογίζει το συνολικό κόστος κτίσης του διαμερίσματος (κόστος κτίσης = αξία + λοιπά έξοδα)
Άσκηση 11
Ένα πλήθος αυτοκινήτων λαμβάνει μέρος σε αγώνες ταχύτητας. Δεδομένου ότι στο τέλος τερματίζουν όλα τα αυτοκίνητα να γίνει αλγόριθμος που θα ζητά από το χρήστη 1) την κατανάλωση βενζίνης σε λίτρα ανά χιλιόμετρο του αυτοκινήτου, 2) το μήκος της πίστας σε χιλιόμετρα, 3) τον αριθμό των αυτοκινήτων που παίρνουν μέρος, 4) τoν αριθμό των γύρων, και θα υπολογίζει το σύνολο των καυσίμων που καταναλώθηκαν (σε λίτρα): 1. για κάθε αμάξι σε ένα γύρο, 2. από όλα τα αμάξια για σε ένα γύρο και 3. από όλα τα αμάξια ανά αγώνα.
Άσκηση 12
Να γραφεί ο αλγόριθμος που θα διαβάζει τον προφορικό βαθμό, τον βαθμό ενός γραπτού διαγωνίσματος και το βαθμό ενός τεστ, κάποιου μαθήματος, ενός μαθητή και να υπολογίζει και να εμφανίζει τον τελικό βαθμό του μαθητή σε αυτό το μάθημα. Ο βαθμός του γραπτού έχει βάρος 3, ο προφορικός βάρος 4 και το τεστ βάρος 1. Ο τελικός βαθμός να υπολογίζεται ως η μέση τιμή των παραπάνω.
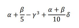
Άσκηση 13
Να γραφεί αλγόριθμος που να υπολογίζει και εμφανίζει την τιμή της αριθμητικής έκφρασης

Άσκηση 14
Ποιο είναι το λογικό αποτέλεσμα (αληθής ή ψευδής) από την εκτέλεση των παρακάτω πράξεων αν Α=10, Β=2, Γ=-4, Δ=9, Ε=1
1. (Α>Β) Ή (Δ=10)
2. (Δ>=Β) ΚΑΙ Ε(<>Γ)
3. ΟΧΙ (Ε<=Γ) Ή (Δ<=Γ)
4. ((Ε<=Α) ΚΑΙ (Ε>=Γ)) ΚΑΙ ΟΧΙ (Γ>=Α)